在寡核苷酸的应用市场中,诊断行业增长迅速——检测方法的进步是最重要的驱动力,尤其是qPCR和测序技术的发展。方法的进步反过来对原料组分提出新的以及更高要求,需要新的和改进的检测标记(例如荧光基团、电化学标记等)不断打磨检测方法以追求更高的灵敏度和选择性。
在与修饰寡核苷酸应用相关的诊断测试手段中,荧光检测(如基于荧光探针的qPCR)是极其重要的一类技术。
下文将基于该类检测技术,结合LGC, Biosearch Technologies™的NAC产品组合,重点介绍寡核苷酸修饰子/标签及其在诊断寡核苷酸合成中的应用。
荧光检测(Fluorescence detection)
染料标记的寡核苷酸具有许多重要的生化和分析用途。对例如DNA Sanger测序和原位杂交(如FISH)的某些特定应用,寡核苷酸需要单一标记,后续依赖染料的荧光特性进行检测分析——大部分发出可见光谱的光。
其它类型的寡核苷酸,例如用于DNA/RNA实时荧光定量检测的探针(荧光基团-淬灭剂探针)和用于等位基因鉴别的探针(分子信标),均为双重标记。在使用荧光基团/淬灭剂对的应用中,动态淬灭通过FRET(荧光共振能量转移)或碰撞淬灭发生。大多数情况下,淬灭机制取决于淬灭剂。例如BHQ™属于FRET淬灭剂,而Dabcyl通过碰撞起作用:后者与消光系数无关,而在FRET中高消光系数很重要——这也是BHQ系列淬灭效率高的原因。产生有效淬灭还必须考虑荧光供体发射光谱和受体吸收光谱的重叠。
无论淬灭机制如何,结果基本一致。双标探针(Taqman®探针、分子信标、蝎形引物等)与PCR形成的扩增子杂交,荧光基团与淬灭剂分离。这种机制与探针类型有关,但一般来说,要么探针打开,增加荧光基团与淬灭剂之间的距离使淬灭停止(分子信标),要么荧光基团或淬灭剂从探针(Taqman探针)上裂解(最常见)。
荧光基团/淬灭剂对的选择取决于荧光基团的发射波长,即所需的检测信号。然而有些时候需要修改荧光基团的发射波长:通常使用FAM/ROX/淬灭剂(如DDQ-I)的组合。在这种情况下有两个供体-受体相互作用:FAM/ROX组合改变了信号的波长,而淬灭剂作为FAM/ROX发射光的受体。
一、荧光分子
1.1 TAMRA标记
这是基于寡核苷酸的应用中最常用的罗丹明染料。TAMRA的荧光特性有时用于寡核苷酸标记,但TAMRA更常用作淬灭剂。
1.2 荧光素标记
寡核苷酸标记荧光素类染料的方法有多种,且标记的选择多样化,跟芳香环的氯化程度有关——这决定了染料的荧光发射。衍生自单异构体6-羧基荧光素的5’-Fluorescein-CE Phosphoramidite (6-FAM, LK2134)、5’-Hexachloro-fluorescein-CE Phosphoramidite (HEX, LK2136)和5’-Tetrachlorofluorescein-CE Phosphoramidite (TET, LK2137)均可用于寡核苷酸5’端的有效标记。

LINK还提供另外两种可用于寡核苷酸荧光素标记的亚磷酰胺:6-Fluorescein-CE Phosphoramidite (LK2139)和Fluorescein-CE Phosphoramidite (LK2148)。两种单体都包含与LK2134相同的荧光染料,但连接骨架不同。LK2139具有1,3-二醇结构,其中额外的OH受DMTr保护。这不但可以通过DMTr的释放监测偶联效率,而且还可以在寡核苷酸中进行多次添加,可用于染色体涂染等。然而,这通常需要在每次添加之间加入一个接头(例如spacer-18 LK2129),防止荧光素自淬灭。Fluorescein-CE Phosphoramidite (LK2148)提供了与LK2139相同的可能性,但该种情况下接头通过硫脲键连接至荧光素。

荧光素的序列内部添加可通过使用Fluorescein-dT-CE Phosphoramidite (LK2068) 取代任意适合的dT残基实现。同样,可以进行多次添加,但每个fluorescein-dT之间的间距对防止自淬灭至关重要。

寡核苷酸3’端荧光素的标记可通过使用四种不同载体实现。基于取代荧光素5-异构体的3’-Fluorescein CPG (LK2359),以及由6-FAM制备的3’-(6-Fluorescein) CPG (LK2368),通常均用于此目的。此外,还有同样源自 6-羧基荧光素的 3'-(6-FAM) CPG (LK2366) 和Fluorescein-dT CPG (LK2370);其中LK2366可以有效阻断聚合酶向3’末端的延伸以及核酸外切酶活性。

1.3 菁染料Cyanine dyes(包括Quasar™染料)
菁染料作为荧光标记的寡核苷酸主要用于分子诊断中的探针制备,例如real-time PCR、荧光原位杂交(FISH)、以及基于表面增强共振拉曼光谱(SERRS)的DNA检测。它们的发射光谱可以通过改变聚甲炔链的长度来调节,并且可以通过芳环上的取代基来改变它们在有机或水性溶剂中的溶解度。
最常用的亚磷酰胺染料是Cyanine-3 (LK2520)和Cyanine-5 (LK2521)。这些通常在合成过程中连接到寡核苷酸的5'端,但也很容易掺入序列中间。MMT保护的羟基的去除方式与 DMTr保护相同。由于结构中缺乏杂环碱基,序列中间掺入并不常见,而且不具备参与碱基配对的能力——会使形成的双链不稳定。

对于3'-修饰,我们引入了等效的3'-修饰1000 Å CPG载体,3'-Cyanine-3 (LK2412) 和3'-Cyanine-5 (LK2413)。

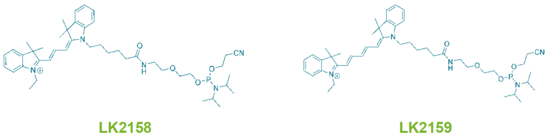
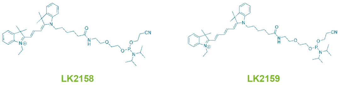
Quasar染料570和670(分别以亚磷酰胺LK2158和LK2159的形式提供)是荧光吲哚羰菁,在橙黄色(LK2158)和红色(LK2159)区域发出荧光的可见光谱。这两种染料在荧光探针标记中的应用直接同功于常见的菁染料(Cy™),Quasar570类似cyanine-3/Cy3,Quasar670类似cyanine-5/Cy5。与LK2520和LK2521不同,Quasar染料不能在寡核苷酸序列中间添加。

1.4 CAL Fluor™染料
CAL Fluor染料是一组专门为qPCR仪器设计的荧光染料。这些新型的呫吨荧光基团可以替代以前的染料,是低成本的替代品。染料可以高效制造,并且在寡核苷酸合成及后处理条件下保持稳定。将CAL Fluor染料与生物分子连接的连接化学消除了多种异构体的问题。这使得染料标记更易于制造、具有单个 RP-HPLC 峰并具有明确的发射光谱。
CAL Fluor染料以CPG和亚磷酰胺单体的形式提供,最大发射波长为520nm至635nm,可与BHQ-1或BHQ-2配对。
1.5 ROX (6-carboxy-X-rhodamine) 标记
ROC荧光染料(羧基-X-罗丹明)通常用作被动参比染料,为荧光报告染料(即多重qPCR或real-time PCR中的SYBR Green I或TaqMan探针)提供稳定的基线。基线还允许校正移液误差、荧光波动和仪器漂移,例如灯强度输出随时间的变化。由于染料不会干扰qPCR扩增,因此将恒定量添加到所有样品中作为对照。
根据实验期间使用的滤光镜和real-time PCR仪器,可能需要调整ROX的浓度。早期的real-time PCR仪器没有匹配ROX的滤光镜,因此需要高浓度来建立基线。后来的仪器使用内标解决了这一短板,以校正光强度。由于ROX染料与所有PCR仪器兼容,后来的仪器现在已针对ROX光谱设置进行校准,因此无需重新校准热循环仪。

表1:染料/淬灭剂选择表
(染料按吸光度最大值的顺序列出;色标仅用作图形表示)
二、淬灭剂
2.1 TAMRA标记
TAMRA 的光吸收特性以及与几种常用荧光团(包括FAM、HEX、TET和JOE)的光谱重叠,使其可用作设计双标探针的淬灭剂。然而,TAMRA的用处有限,因为它的发射光谱广,这降低了它在多重检测中应用的能力。其固有荧光产生背景信号,会潜在降低基于TAMRA检测的灵敏度。尽管存在这些限制,TAMRA已广泛用于检测探针的设计,尤其是用于Real-Time PCR的Taqman探针。
寡核苷酸可以使用两种不同的方法标记TAMRA。TAMRA对强碱不够稳定,且在氢氧化铵存在下降解。如果需要去保护,则在寡核苷酸的3'-(最常见)或5'-末端合成氨基,并使用TAMRA-NHS酯进行合成后TAMRA标记。使用温和的去保护单体合成的寡核苷酸可以直接用TAMRA标记,或者在序列中间通过用TAMRA-dT-CE Phosphoramidite (LK2143) 取代任何合适的dT残基,或者在3'-末端使用3'-TAMRA CPG载体 (LK2434)。随后寡核苷酸的脱保护在70˚C下使用叔丁胺/甲醇/水(1:1:2)处理2.5小时完成。尽管仍有少量TAMRA降解,但在纯化过程中很容易去除。如前所述,TAMRA也是一种荧光基团,虽然是使用最广泛的淬灭剂之一,但应用中通常需要使用黑暗淬灭剂(Dark Quencher)。

2.2 非荧光淬灭剂(Dark Quenchers)
(1)Dabcyl标记
Dabcyl由于其吸光特性且无残留荧光,已被广泛用作诊断探针(如分子信标)中的淬灭剂。在非活性状态下,分子信标不与靶序列杂交,荧光基团的荧光能量通过碰撞淬灭过程转移至淬灭剂。为了有效地进行光能转移,荧光基团和淬灭剂必须非常靠近。分子信标的设计中考虑了这一要求,因为茎的两部分杂交以保持F/Q非常靠近的距离。分子信标探针与其靶序列的杂交导致茎的分离,从而导致F/Q对的分离,产生荧光。
由于dabcyl对寡核苷酸合成过程稳定,它可以通过修饰子的形式在序列中的任何位置掺入:在5'端使用5'-Dabcyl-CE Phosphoramidite (LK2085) - 例如在TwistAmp fpg探针上的使用;在3'端使用3'-Dabcyl CPG (LK2374) - 例如用于Taqman探针、蝎形引物和分子信标;或在序列中间使用 Dabcyl-dT-CE Phosphoramidite (LK2144) - 例如在蝎形引物中。

Dabcyl的吸收特性将其可淬灭的染料范围限制为发射波长为400-550nm(最大吸收波长为471nm)的染料。然而,当在分子信标中使用时,Dabcyl和荧光基团足够接近,进而可以淬灭稍宽光谱的染料,从而增加了Dabcyl分子的通用性。
Dabcyl在大多数情况下已被BHQ系列染料取代。
(2)黑洞淬灭剂试剂
现代基因组和诊断应用的需求通常集中在对更高检测灵敏度的日益增长的需求上,这导致了一系列新的非荧光淬灭剂的开发。其中最著名的是Black Hole Quencher™试剂(BHQ 试剂),它专门针对基于FRET的淬灭进行了优化。
由于每种BHQ染料具有高消光系数和宽光谱重叠,因此与Dabcyl等分子相比,淬灭效率有所提高。这反过来意味着BHQ染料为不同检测目的提供了更大范围波长的使用,覆盖可见光到光谱的近红外区域(480-730nm)。再加上这些分子没有残留背景荧光(是真正的暗淬灭剂),使BHQ染料成为real-time PCR应用的有利选择。
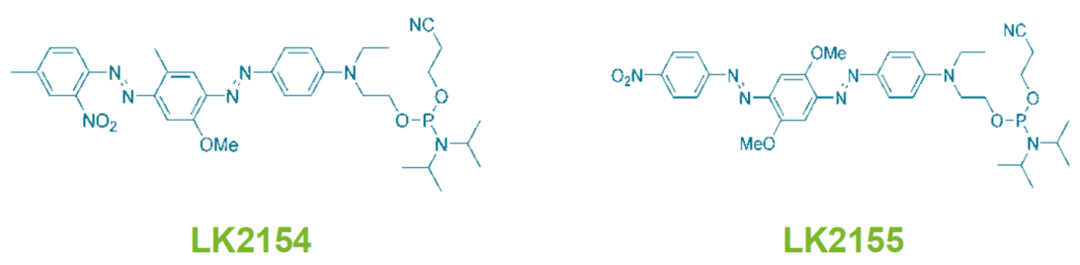
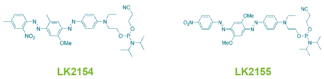
在四种BHQ淬灭剂中,BHQ-1和BHQ-2更受欢迎,无论5’-Phosphoramidites (LK2154和LK2155)、dT-Phosphoramidites (LK2156和LK2157),或是3’-CPG (LK2379和LK2380)。如果仅考虑激发和发射值,Cy5、Cyanine-5和Quasar 670需要BHQ-3才能有效淬火,但建议使用BHQ-2,因为它不易降解。BHQ-1通常用于在480-580nm范围内的淬灭,可与常用荧光基团配合使用,如FAM、TET、JOE和HEX。BHQ-2用于在550-650nm范围内的淬灭,淬灭TAMRA、ROX、Cyanine-3、Cy3、Cy3.5™和Red 640等荧光基团最为有效。每种BHQ亚磷酰胺和CPG均可直接用于自动化合成。



(3)Deep Dark Quencher 1(DDQ-1)
Deep Dark Quencher 1是一种非荧光分子,可淬灭FAM等较短波长的染料,其淬灭特性与Dabcyl非常相似(见下图)。该修饰可以使用3’-modifier CPG 1000 Å support (LK2349)实现。

图1:3'-Dabcyl- 和 3'-DDQ-1- 标记寡核苷酸的紫外吸收光谱比较
(DDQ-1 λmax471nm,Dabcyl λmax473nm)

该种情况下,淬灭剂连接到脱氧核糖的端基异构位置。这消除了在去保护过程中丢失标签的可能性——由于1,2-二醇构型,该问题通常也与Dabcyl相关。此外,DDQ-1的掺入导致天然糖-磷酸骨架的保留,意味着对寡核苷酸的结构没有不利影响。

图2:多重qPCR荧光基团/淬灭剂在线选择工具
https://www.biosearchtech.com/qpcr-multiplex-spectral-overlay-tool
(4)BlackBerry™淬灭剂
荧光基团在激发态时对环境敏感,除了荧光光子的发射,还可能通过多个过程丢失激发能量。这种荧光淬灭的发生可以通过:碰撞或分子运动(动态淬灭),与其他分子的激发态反应(光漂白),接触淬灭(形成非荧光基态复合物,也称为静态淬灭),或荧光共振能量转移(FRET)。许多核酸荧光检测技术使用带有荧光基团和淬灭剂的探针,依靠FRET或接触模式淬灭来减弱荧光,直到探针杂交发生。杂交后,荧光基团和淬灭剂在空间上分离,导致荧光增强。FRET从荧光基团到淬灭剂的效率(即淬灭量级)取决于它们跃迁偶极子的相对定向、它们之间的距离、以及淬灭剂吸收光谱与荧光基团发射光谱的重叠程度。接触淬灭的效率取决于荧光基团和淬灭剂形成基态复合物的能力,并与两种物质的相互亲和力以及它们之间的距离相关。淬灭剂本身可能是发射荧光的,发射波长比受体荧光基团更长的光子。
使用黑暗淬灭剂(dark quenchers)更加方便——它们是非荧光发色团,在FRET模式下可以从荧光基团的激发态吸收能量,从而阻止荧光光子的发射。黑暗淬灭剂的激发态产物通过非辐射衰变(热)弛豫至基态。在接触模式下,黑暗淬灭剂与荧光基团形成非荧光基态复合物,掩盖其荧光,直至杂交发生。
典型的黑暗淬灭剂是Dabcyl。这种淬灭剂的一个理想特性是长波长吸收最大值。可惜的是此类化合物的化学稳定性经常降低。扩展的 π 系统和/或使用更强的供体受体官能团配对可导致对寡核苷酸合成试剂的敏感性,例如碘氧化剂、以及氨和 AMA 等Deblock试剂。
LGC, Biosearch Technologies提供BlackBerry Quencher 650 (BBQ-650)作为合成稳定的长波长荧光黑暗淬灭剂(图3)。8-alkoxyjulolide部分是强大的 π -电子供体,与相关化合物相比,它提供了惊人的红移。BBQ-650标记寡核苷酸的吸收光谱如图4所示。以650nm为中心的宽吸收谱有效地与流行的长波长荧光基团(例如Cy3、TAMRA、Texas Red、ROX、Cy5和Cy5.5)的发射最大值重叠,从而实现高效淬灭。

图3:BlackBerry Quencher 650 (BBQ-650)

图4:3’ BBQ-650标记的15-mer寡核苷酸的吸收光谱
BlackBerry Quenchers可以使用图 5中所示的试剂装配在寡核苷酸的3'末端、序列中间或5'位置。为了在接触淬灭模式下评估BlackBerry Quencher 650,使用3'-BBQ-650 CPG合成了带有多种5'-荧光基团(FAM、Cy3™、Texas Red、Cy5™、Cy5.5™)的分子信标探针:与完全互补靶标序列结合后的信噪比非常好,例如,Cy5 > 90,Cy5.5 > 88。

图5:BlackBerry Quencher 650的寡核苷酸合成试剂
BlackBerry Quencher 650是出色的FRET淬灭剂。在5'-Cy5.5荧光基团与3'-BBQ-650间距5个或10 个以内碱基对(20-40Å)的互补链配对中,仍可分别观察到≥98.3%和≥98.9%的淬灭效率。这些杂交体的熔解温度与未标记核酸杂交体相比没有变化,表明高淬灭效率来自FRET淬灭而非接触淬灭。
(5)Blueberry淬灭剂
LGC, Biosearch Technologies开发了一系列新的pH敏感淬灭剂。根据pH值调节吸光度的能力使这些淬灭剂与市场上的其他淬灭剂区分开来。
细胞环境中的成像离子是推进临床诊断、生化研究和环境科学等专业研究的持续挑战。该领域已从荧光钙成像指示剂的发明扩展至包括各种传感工具,其中之一是纳米级离子选择性光极。这些纳米级光极是离子选择性电极的等效物,且提供优于传统分子指示剂的优势——识别部分和光学报告分子是分开的组件。这种模块化结构使得调谐传感器的动态范围、灵敏度、波长和选择性成为可能。
克服因使用Nile red系列荧光指示剂而产生的光极限制的研究工作正在进行Ref 1,其中一个关键步骤是成功使用淬灭剂染料Blueberry-C6-ester-652 (BLU00652) 替代了钾离子特异性纳米传感器配方中更为传统的显色离子载体 III (CH III)。图6显示了pH敏感的Blueberry-C6-ester-652与离子选择性光极中的静态荧光基团一起使用时的传感器机制。淬灭剂的吸光度随钾离子提取而变化,进而导致淬灭剂和荧光基团之间的FRET变化。图7 显示了消光系数表征(A)和pH滴定 (B)。

图6:基于pH的钾纳米传感器机制

图7:Blueberry-C6-ester-652淬灭染料:
(A) 消光系数表征和 (B) 在CH3CN/缓冲液 (1:1) 中的pH滴定
Ref 1 Development of an Optical Nanosensor Incorporating a Novel Quencher Dye for Potassium Imaging, Sahari, A.; Ruckh, T.; Hutchings, R.; Clark, H. submitted to Anal. Chem.2015.
除了Blueberry-C6-ester-652 (BLU00652),LGC, Biosearch Technologies还提供所有Blueberry淬灭剂,包括Blueberry pyridyl C6 ester(最大吸收波长556nm,pKa为5.6且e= 36,750 M-1 cm-1),以及Blueberry-cyano-C6-ester(BLU00655,最大吸收波长623nm,pKa为8.0且e= 24,500 M-1 cm-1)。这些淬灭剂呈现出450nm~700nm的宽吸收范围,并涵盖了广泛的生理学相关pKa值。

* 本文转载自「LGC基因组学」微信公众号