ProteinSimple 致力于研发和生产更精准、更快速、更灵敏的创新性蛋白质分析工具,使蛋白质分析更简单。 酶联免疫吸附试验(ELISA)是循环系统蛋白标志物主要检测技术,但传统 ELISA 技术具有手动操作步骤多、时间长、重复性较差、所需样本量大和单因子检测等不足。鉴于此,ProteinSimple 开发了全自动微流控免疫分析仪 Ella™,实现了全自动化、快速、高灵敏、多因子分析能力,获得高质量数据,广泛用于细胞与基因治疗、肿瘤免 疫治疗、感染性疾病、神经疾病和炎症等领域蛋白质标志物分析。
肿瘤免疫治疗外周血蛋白标志物
免疫检查点抑制剂构成了肿瘤免疫治疗的基石,特别是基于生物标志物指导的临床药物开发,在治疗前后精准识别对治疗产生反应的患者群体,已经彻底改变了癌症治疗的模式和思维。目前主要采用的标志物是组织水平的, 如免疫组织化学法 PD-L1、微卫星不稳定性(MSI)、肿瘤突变负荷(TMB)等。与组织活检取样侵入性比,外周血液体活检方式是生物标志物研究和临床使用的重要方向。Ella 可检测血清中 CTLA-4、LAG-3、PD-L1 和 TIM-3 等可作为免疫治疗反应的预测或预后标志物。
美国科学家进行一项针对 HER2 阳性的转移性乳腺癌回顾性生物标志物研究,评估预处理血清 PD-L1 水平作 为预后和预测性标志物使用价值。Ella PD-L1 实验具有宽动态范围(3.45-13,172 pg/mL),实现自动化快速检测, 本研究采用 Ella 检测血清中 PD-L1 水平。

癌症蛋白质生物标志物开发和验证
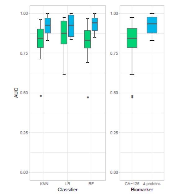
常规癌症筛查中,主要癌肿是肺癌、乳腺癌、前列腺癌、胃癌和结直肠癌等,但对胰腺癌和卵巢癌等特定癌症没有可靠的筛查方法。美国韦恩州立大学利用 Ella,进行卵巢癌早期诊断标志物筛选和验证。结果如 右图展示,MIF,OPN,PROL 和 CA-125 4 因子组合比 单独使用 CA-125 具有更高特异性和灵敏度。
耶鲁大学医学院科学家,利用 Ella 平台研究卵巢癌 病人早期预测标志物,通过筛选 IL-1Ra,IL-6,Dkk-1, uPA,E-CAD、ErbB2,SLPI,HE4,CA125,LCN2, MSLN 和 OPN 多个蛋白标志物,发现 CA125, HE4, E-CAD 和 IL-6 构成的 4 因子组合比 CA125 和 HE4 2 因子组合 更有优势,可作为预测早期卵巢癌的肿瘤标志物。(C. Han,Gynecologic Oncology,2018)

关于上海昊扩:
上海昊扩科学器材有限公司成立于2019年,总部位于上海,是一家实验室设备/耗材及分析仪器的综合服务商。公司致力于为生物、医药、物性检测、化工分析、食品、工业生产等相关领域客户提供国内外高科技专业设备以及技术咨询服务。2024年,上海昊扩已正式与美国Bio-techne集团旗下的行业领先蛋白质分析品牌ProteinSimple达成合作,成为其华东大区授权代理商。
关于ProteinSimple:
美国纳斯达克上市公司Bio-techne (Nasdaq: TECH) 集团旗下的行业领先蛋白质分析品牌,一直致力于研发和生产更精准、更快速、更灵敏的创新性蛋白质分析工具,包括蛋白质电荷表征、蛋白质纯度分析、蛋白质翻译后修饰定量检测、蛋白质免疫实验如 Western 和 ELISA 定量检测蛋白质表达等技术,帮助生物制药、细胞治疗、生物医学和生命科学等领域科学家解决蛋白质分析问题,深度解析蛋白质和疾病相互关系。
→ 点击直达产品详情:Ella™全自动微流控免疫分析仪